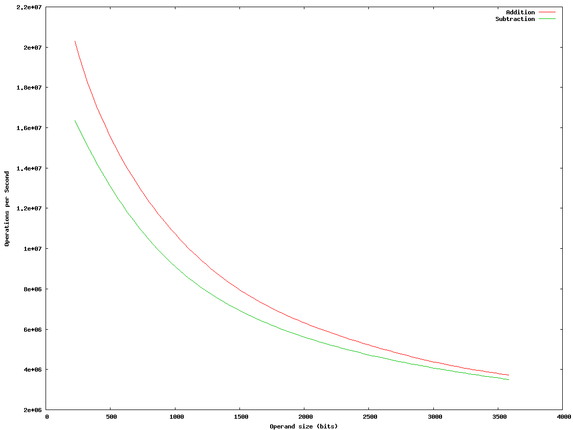
Addition and Subtraction
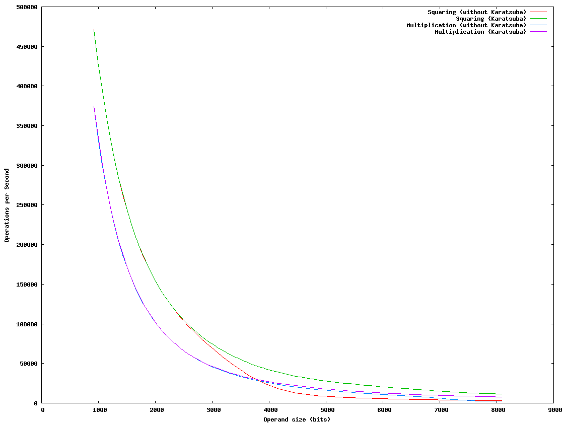
Multipliers
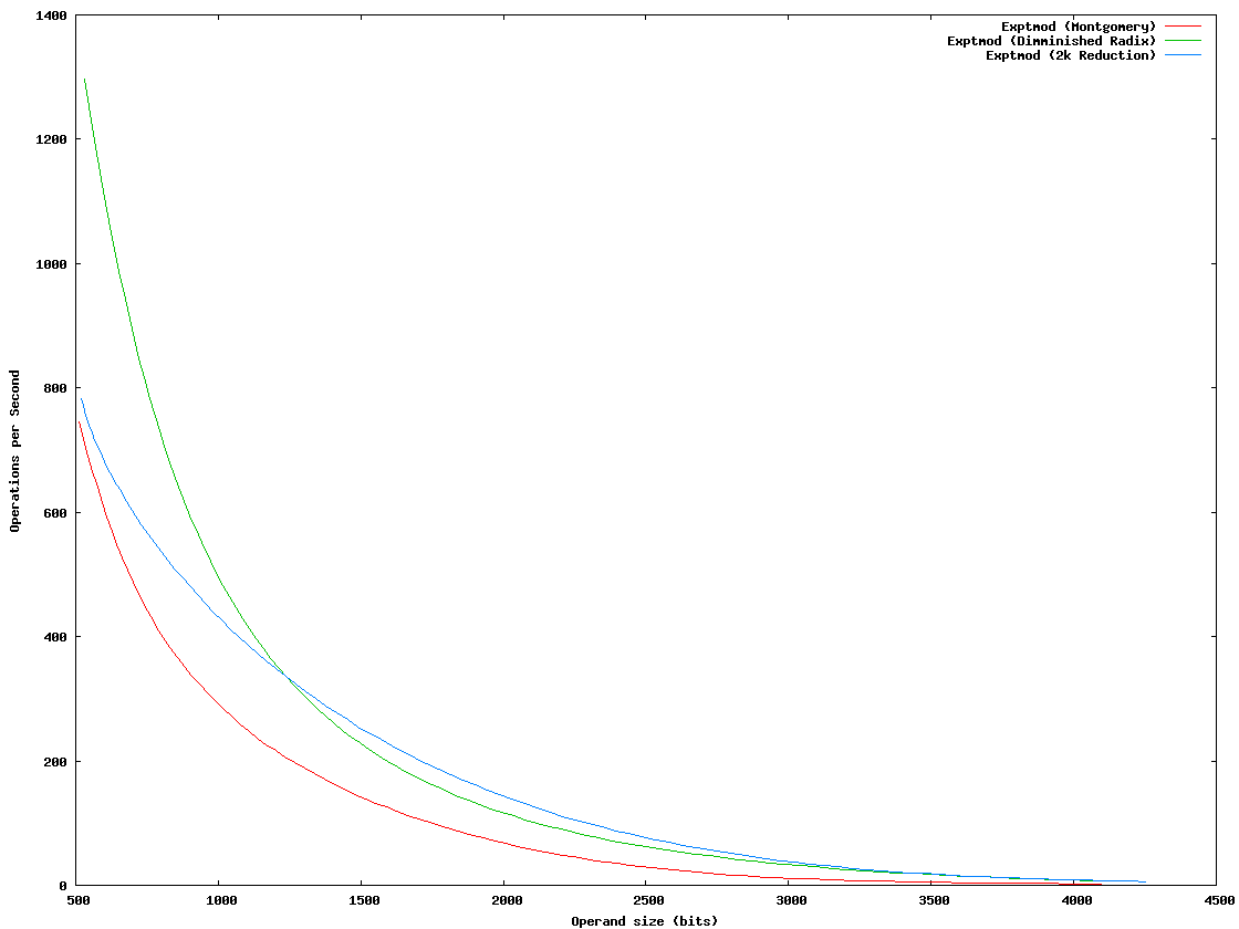
Exptmod
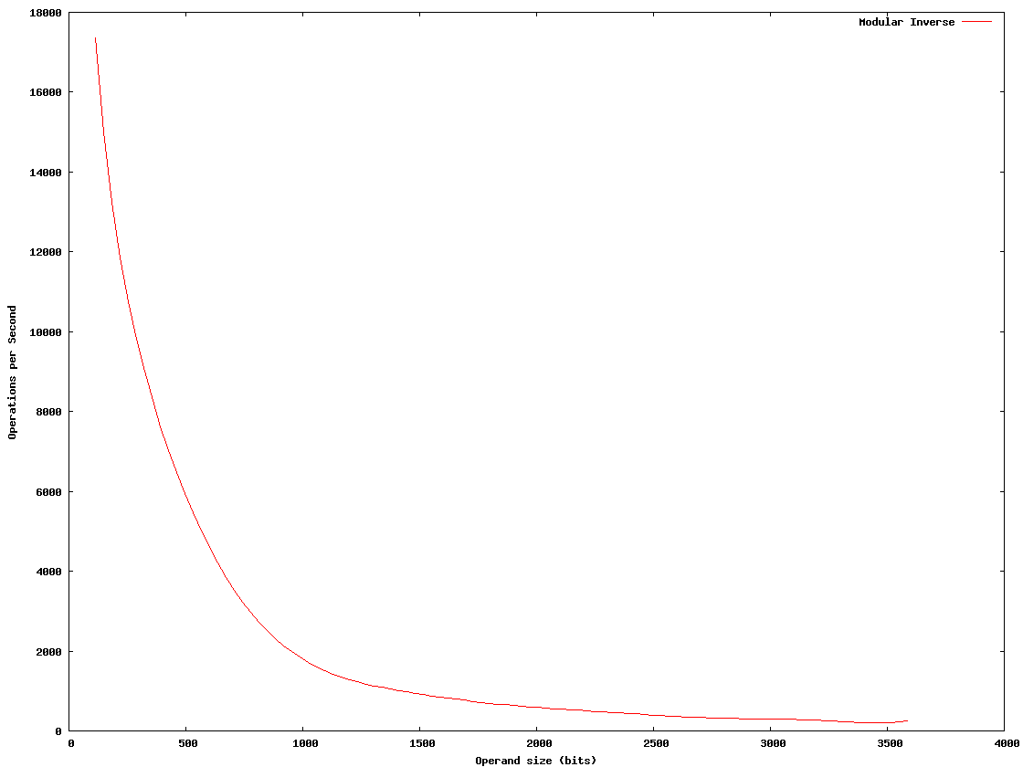
Modular Inverse